POV-Ray : Newsgroups : povray.off-topic : A tricky rendering problem Server Time
17 Mar 2026 06:10:11 EDT (-0400)
  A tricky rendering problem (Message 1 to 10 of 23)  
Goto Latest 10 Messages Next 10 Messages >>>
From: Invisible
Subject: A tricky rendering problem
Date: 8 Apr 2009 05:48:12
Message: <49dc72dc$1@news.povray.org>
I wrote a program that takes a connection list such as

   [
     (1, n [b 2, b 3, b 4]),
     (2, n []),
     (3, n [b 5, b 6, b 7]),
     (4, n []),
     (5, n []),
     (6, n []),
     (7, n [b 8, b 9, a 1]),
     (8, n []),
     (9, n [])
   ]

and generates an image such as the one attached.

Trouble is... it's not a very good graphic, is it? :-/


Post a reply to this message


Attachments:
Download 'test3.png' (10 KB)

Preview of image 'test3.png'
test3.png


 

From: Vincent Le Chevalier
Subject: Re: A tricky rendering problem
Date: 8 Apr 2009 07:19:02
Message: <49dc8826$1@news.povray.org>
You might take a look at GraphViz if you haven't done so already:
http://www.graphviz.org/

I bet you'd find in their papers plenty of ideas to make a better 
rendering... Assuming you want to do it by yourself and not just use 
existing tools.

-- 
Vincent


Post a reply to this message

From: Invisible
Subject: Re: A tricky rendering problem
Date: 8 Apr 2009 07:53:59
Message: <49dc9057@news.povray.org>
Vincent Le Chevalier wrote:
> You might take a look at GraphViz if you haven't done so already:
> http://www.graphviz.org/
> 
> I bet you'd find in their papers plenty of ideas to make a better 
> rendering... Assuming you want to do it by yourself and not just use 
> existing tools.

I did take a look at the "dot" tool - but it tends to produce utterly 
horrid graphs. I mean, *astonishingly* bad graphs.

So I set about attempting to write my own. But, while it does strictly 
speaking _work_, it leaves a lot to be desired. (A particular problem is 
overlapping lines.)

The trouble is, I want to draw some graphs. Building a graph drawing 
engine is only a secondary goal; the major goal is building the program 
that produces the graphs in the first place. So I'm trying to do it 
quickly... but I want it to look reasonable. Hmm.


Post a reply to this message

From: Vincent Le Chevalier
Subject: Re: A tricky rendering problem
Date: 8 Apr 2009 08:09:05
Message: <49dc93e1@news.povray.org>
Invisible a écrit :
> I did take a look at the "dot" tool - but it tends to produce utterly 
> horrid graphs. I mean, *astonishingly* bad graphs.

Perhaps it would be wise, before writing such statements, to ensure that 
your own tool reaches at least an equivalent quality ;-)

-- 
Vincent


Post a reply to this message

From: Invisible
Subject: Re: A tricky rendering problem
Date: 8 Apr 2009 08:13:33
Message: <49dc94ed@news.povray.org>
Vincent Le Chevalier wrote:
> Invisible a écrit :
>> I did take a look at the "dot" tool - but it tends to produce utterly 
>> horrid graphs. I mean, *astonishingly* bad graphs.
> 
> Perhaps it would be wise, before writing such statements, to ensure that 
> your own tool reaches at least an equivalent quality ;-)

Well, thus far my tool has succeeded in not putting nodes on top of each 
other, and so their labels are at least readable. That's an improvement, 
if only a small one.


Post a reply to this message

From: Vincent Le Chevalier
Subject: Re: A tricky rendering problem
Date: 8 Apr 2009 10:47:22
Message: <49dcb8fa$1@news.povray.org>
Invisible a écrit :
> Vincent Le Chevalier wrote:
>> Invisible a écrit :
>>> I did take a look at the "dot" tool - but it tends to produce utterly 
>>> horrid graphs. I mean, *astonishingly* bad graphs.
>>
>> Perhaps it would be wise, before writing such statements, to ensure 
>> that your own tool reaches at least an equivalent quality ;-)
> 
> Well, thus far my tool has succeeded in not putting nodes on top of each 
> other, and so their labels are at least readable. That's an improvement, 
> if only a small one.

Except I have no such problem with dot...

Example:

digraph "" {
node [shape=ellipse, color=lightblue, style=filled, fontname="Times-Bold"]
p1 [label="1"];
p2 [label="2"];
p3 [label="3"];
p4 [label="4"];
p5 [label="5"];
p6 [label="6"];
p7 [label="7"];
p8 [label="8"];
p9 [label="9"];

edge [color=black]
p1 -> p2
p1 -> p3
p1 -> p4
p3 -> p5
p3 -> p6
p3 -> p7
p7 -> p8
p7 -> p9
edge [color=red]
p7 -> p1
}

gives the image attached. Probably not the most terse way since I 
adapted it from a computer-generated dot file.

What's wrong?

-- 
Vincent


Post a reply to this message


Attachments:
Download 'example.png' (4 KB)

Preview of image 'example.png'
example.png


 

From: Invisible
Subject: Re: A tricky rendering problem
Date: 8 Apr 2009 10:57:08
Message: <49dcbb44$1@news.povray.org>
>>> Perhaps it would be wise, before writing such statements, to ensure 
>>> that your own tool reaches at least an equivalent quality ;-)
>>
>> Well, thus far my tool has succeeded in not putting nodes on top of 
>> each other, and so their labels are at least readable. That's an 
>> improvement, if only a small one.
> 
> Except I have no such problem with dot...
> 
> Example:
> 
> digraph "" {
> node [shape=ellipse, color=lightblue, style=filled, fontname="Times-Bold"]
> p1 [label="1"];
> p2 [label="2"];
> p3 [label="3"];
> p4 [label="4"];
> p5 [label="5"];
> p6 [label="6"];
> p7 [label="7"];
> p8 [label="8"];
> p9 [label="9"];
> 
> edge [color=black]
> p1 -> p2
> p1 -> p3
> p1 -> p4
> p3 -> p5
> p3 -> p6
> p3 -> p7
> p7 -> p8
> p7 -> p9
> edge [color=red]
> p7 -> p1
> }
> 
> gives the image attached. Probably not the most terse way since I 
> adapted it from a computer-generated dot file.
> 
> What's wrong?

That's interesting. I never managed to get a result to look that nice. 
(Although a little AA certainly wouldn't hurt!)

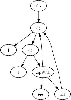
What happens if you try it with this?

digraph ""
{
   n1 [label="fib"]
   n2 [label="(:)"]
   n3 [label="1"]
   n4 [label="(:)"]
   n5 [label="1"]
   n6 [label="zipWith"]
   n7 [label="(+)"]
   n8 [label="tail"]

   n1 -> n2
   n2 -> n3
   n2 -> n4
   n4 -> n5
   n4 -> n6
   n6 -> n7
   n6 -> n2
   n6 -> n8
   n8 -> n2
}

I eventually managed to get this to look half reasonable with my own 
tool, but still not great.


Post a reply to this message

From: Vincent Le Chevalier
Subject: Re: A tricky rendering problem
Date: 8 Apr 2009 11:18:09
Message: <49dcc031@news.povray.org>
Invisible a écrit :
> (Although a little AA certainly wouldn't hurt!)

Yes, thankfully dot can output vector graphics so that's easy to settle. 
Actually maybe the antialiasing in newer versions is better with the 
direct png export...

> What happens if you try it with this?

This (antialiased by converting from ps to png with ImageMagick).

-- 
Vincent


Post a reply to this message


Attachments:
Download 'example.png' (5 KB)

Preview of image 'example.png'
example.png


 

From: Invisible
Subject: Re: A tricky rendering problem
Date: 8 Apr 2009 11:27:18
Message: <49dcc256$1@news.povray.org>
>> (Although a little AA certainly wouldn't hurt!)
> 
> Yes, thankfully dot can output vector graphics so that's easy to settle. 
> Actually maybe the antialiasing in newer versions is better with the 
> direct png export...

OK, that settles that then.

>> What happens if you try it with this?
> 
> This (antialiased by converting from ps to png with ImageMagick).

OK, well that's pretty smooth looking. Certainly neater than what my 
program produced.

The only thing I can think of is that maybe last time I tried dot out 
while I was trying to do really complex mind maps and the vast number of 
nodes and dense interconnections upset the layout algorithm. Certainly 
your examples seem to be laid out just fine.

One small issue is that for the graphs I'm interested in, the ordering 
of the edges is significant. That is,

   n25 -> n82
   n25 -> n133

means something different to

   n25 -> n133
   n25 -> n82

But dot will of course render them identically. I'm wondering if there's 
a way to work round that. Maybe add some smaller nodes to label the 
edges? (Presumably you can do that?)


Post a reply to this message

From: andrel
Subject: Re: A tricky rendering problem
Date: 8 Apr 2009 11:49:44
Message: <49DCC79A.6000906@hotmail.com>
On 8-4-2009 11:48, Invisible wrote:
> I wrote a program that takes a connection list such as
> 
>   [
>     (1, n [b 2, b 3, b 4]),
>     (2, n []),
>     (3, n [b 5, b 6, b 7]),
>     (4, n []),
>     (5, n []),
>     (6, n []),
>     (7, n [b 8, b 9, a 1]),
>     (8, n []),
>     (9, n [])
>   ]
> 
> and generates an image such as the one attached.
> 
> Trouble is... it's not a very good graphic, is it? :-/
> 
> ------------------------------------------------------------------------
> 
My first suggestion would be to use a metapost or latex package. Not 
sure if that is an option.


Post a reply to this message

Goto Latest 10 Messages Next 10 Messages >>>

Copyright 2003-2023 Persistence of Vision Raytracer Pty. Ltd.